產品分類
Products
聯系我們
安平縣邁拓金屬絲網制品有限公司
24小時咨詢:15233287666
聯系人:李經理
電話:0318-7563780
傳真:0318-7563780
微信:18830167666
Q Q:578336726
地址:河北省衡水市安平縣燦達創業輔導基地A06號

不銹鋼席型網
|
|
|
|
|
|
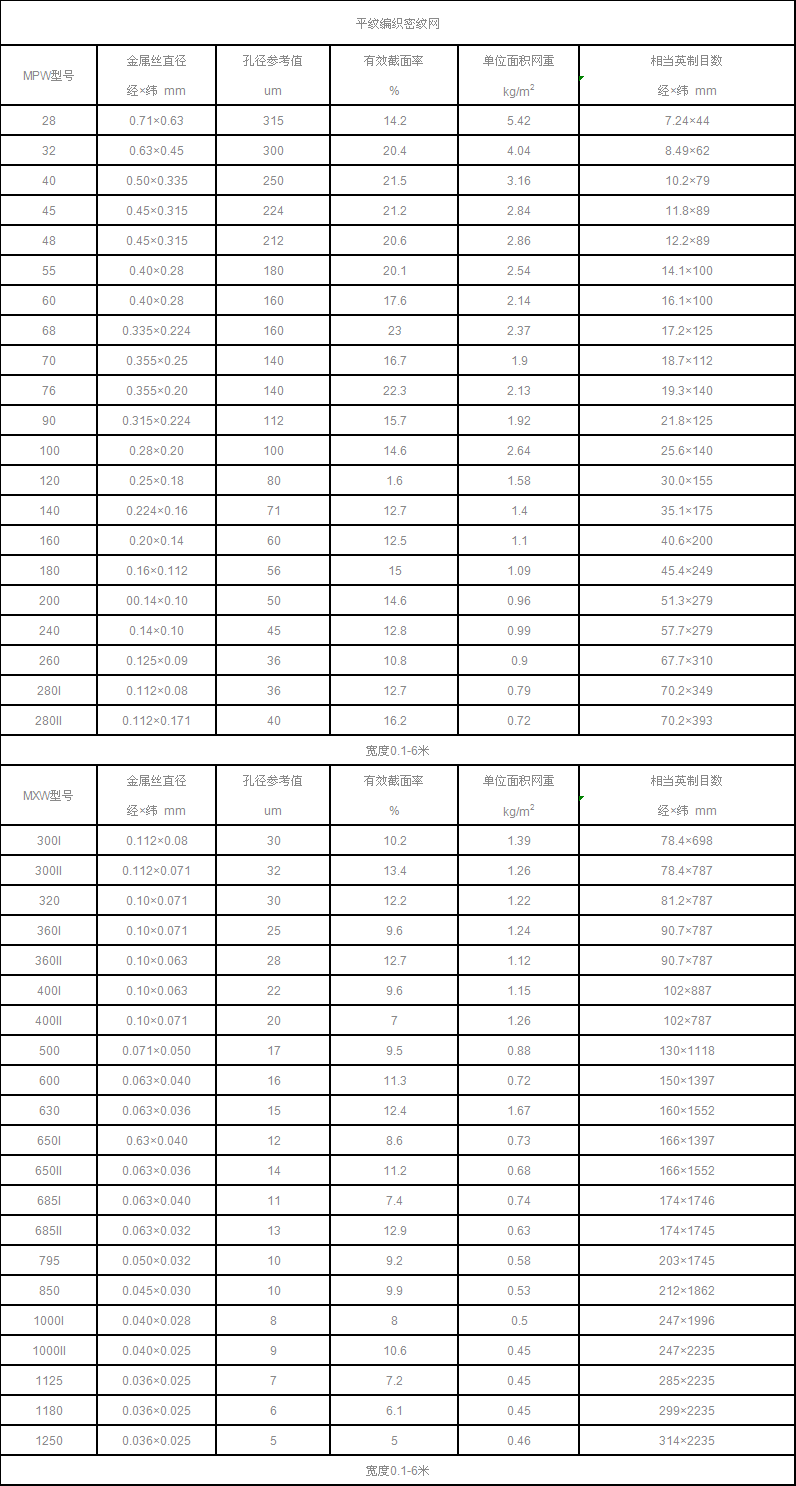
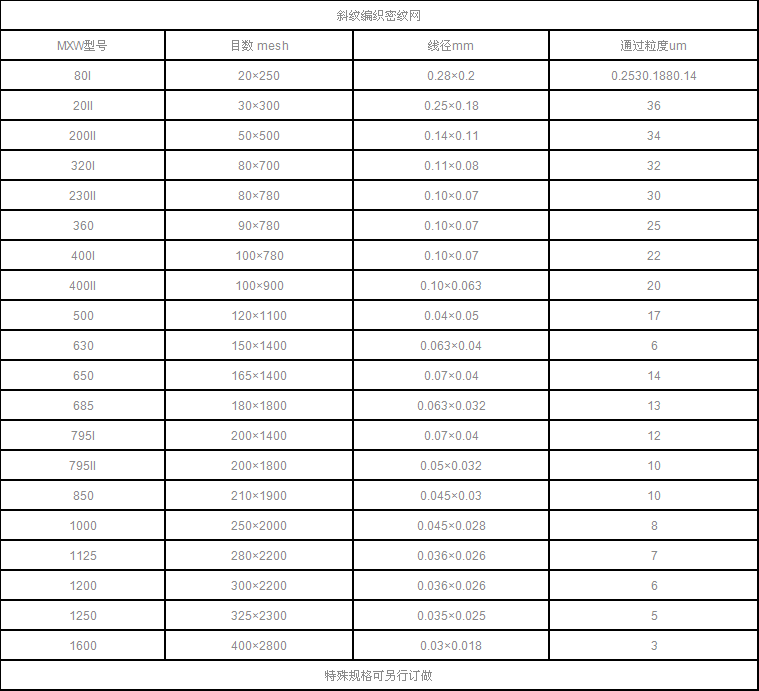
不銹鋼席型網是采用優質不銹鋼絲編織而成的不銹鋼絲網制品。不銹鋼席型網的經緯絲徑不同,目數不同。合理的搭配絲經和目數以達到方眼網無法達到的過濾密度。所以不銹鋼席型網都是過濾精細的密紋網,但是一般都是經絲絲徑大于緯絲絲徑。
不銹鋼席型網以SUS302 304 304L 316 316L不銹鋼絲為原料。廣泛用于煉油、化肥、化工、醫藥、衛生科研等,不銹鋼席型網有斜紋、平紋二類。
不銹鋼席型網性能:耐酸,耐堿,耐高溫,拉力和耐磨性強、具有過濾性能穩定、精細、精度高、富有特殊過濾性能.
不銹鋼席型網編織:平紋編織不銹鋼密紋網(平紋-密紋)、斜紋編織不銹鋼密紋網(斜紋-密紋)、竹花編織不銹鋼密紋網,反差編織不銹鋼密紋網(也稱反差席型網輸送帶)。
不銹鋼席型網工藝:平紋的荷蘭編織和平紋編織類似是各行編織。不同的是這種編織網的經絲絲徑比緯絲絲經粗。緯絲緊密靠攏形成錐形或者楔入形的開孔。
不銹鋼席型網規格:不銹鋼席型網編織網從12*64目到500*3500目。不銹鋼席型網寬度:1米—3米。也可根據客戶要求定制。
不銹鋼席型網包裝:防水紙包裝,外包裝為編織袋或木箱等。
不銹鋼席型網用途:主要用于氣體、液體過濾及其他介質分離;廣泛用于精密壓力過濾器、燃油過濾、真空過濾器、做濾芯原料、航天、煉油、醫藥、制糖、石油、化工、化纖、橡膠、車胎制造、冶金、食品、衛生科研等行業。









